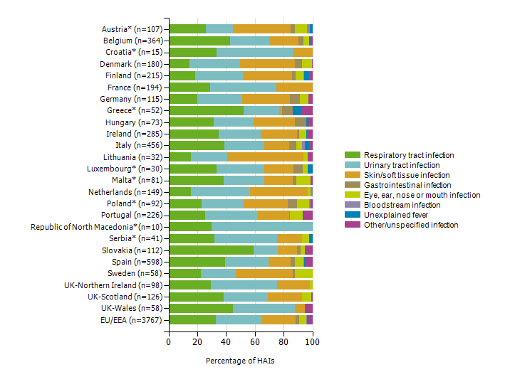
Types of HAI: stacked bars graph

DHAIHALT03
Distribution of HAI types in long-term care facilities by country, selected LTCF types, HALT point prevalence survey, 2016-2017
LTCF: long-term care facility.
Selected LTCF types: Only general nursing homes, residential homes and mixed LTCFs.
* Poor or very poor national representativeness of LTCF sample
Data from the ECDC-HALT point prevalence survey of healthcare-associated infections and antimicrobial use in long-term care facilities in 2016-2017 as reported to TESSy.
Numbers in parentheses=total number of HAIs by country; Percentage=percentage of all HAIs.
Respiratory tract infections: include common cold/pharyngitis, influenza-like illness, pneumonia and other lower respiratory tract infections.
Skin and soft tissue infections: include cellulitis/soft tissue/wound infection, herpes simplex or zoster, fungal skin infections, scabies.
Eye, ear, nose and mouth infections: include conjunctivitis, ear infections, sinusitis and mouth infections.