Skip to main content
Global Navigation
Other sites
ECDC
European Antibiotic Awareness Day
(opens in a new window)
ESCAIDE - Scientific conference
(opens in a new window)
Eurosurveillance journal
(opens in a new window)
EVIP - Vaccination portal
(opens in a new window)
European Centre for Disease Prevention and Control
An agency of the European Union
Translate this page
Search
Main Navigation (desktop)
Infectious disease topics
Infectious disease topics
A
B
C
D
E
F
G
H
I
J
K
L
M
N
O
P
Q
R
S
T
U
V
W
X
Y
Z
Related public health topics
Spotlight
Antimicrobial resistance (AMR)
Avian influenza
COVID-19
Mpox
One Health
Seasonal influenza
Video: Fighting a Candida auris outbreak - healthcare workers leading the change
Publications and data
Publications and data
Scientific and technical publications
Dashboards and databases
Planned scientific outputs
Spotlight
Weekly threats reports (CDTR)
Annual Epidemiological Reports (AERs)
Epidemiological updates
Eurosurveillance
The European Respiratory Virus Surveillance Summary (ERVISS)
Training and tools
Training and tools
Training programmes
Surveillance and outbreak tools
Preparedness, prevention and control tools
Communication materials
Spotlight
EpiPulse - the European surveillance portal for infectious diseases
Vaccination coverage dashboard
ECDC Crowd
Learning Portal
About ECDC
About ECDC
Who we are
What we do
Partners and networks
Work with ECDC
Procurement and grants
Media centre
Spotlight
Strategic documents
Annual reports of the Director
Governance
ECDC: On Air
Home
Infectious disease topics
Related public health topics
Healthcare-associated infections
Healthcare-associated infections in long-term care facilities
HAI-Net HALT database
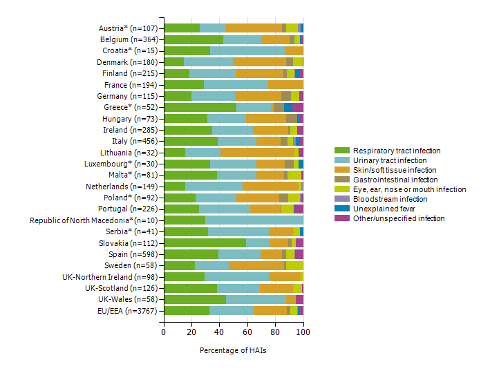
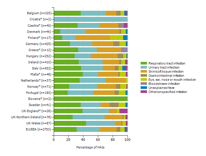
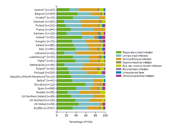
Types of HAIs
Types of HAI: pie chart
The requested report is not available at the moment. Please try again later.
Types of HAI: pie chart
The requested report is not available at the moment. Please try again later.