Skip to main content
Global Navigation
Other sites
ECDC
European Antibiotic Awareness Day
ESCAIDE - Scientific conference
Eurosurveillance journal
EVIP - Vaccination portal
European Centre for Disease Prevention and Control
An agency of the European Union
Search
Search
Search
Translate this page
Home
Infectious disease topics
Related public health topics
Antimicrobial consumption
Facts
Surveillance and disease data
Antimicrobial consumption dashboard
Communication
Antimicrobial resistance
Facts
Factsheet for experts
Factsheet for the general public
Country factsheets
Infographics
Videos
Directory: Guidance on prevention and control
Prevention and control of infections by microorganism
Containing unusual antimicrobial resistance
Carbapenem-resistant Enterobacterales (CRE)
Vancomycin-resistant enterococci (VRE)
Meticillin-resistant Staphylococcus aureus (MRSA)
Clostridium difficile
Healthcare-associated infections
Managing an outbreak
Hand hygiene
Surgical site infections
Central line-related bloodstream infection (CLABSI)
Catheter-associated urinary tract infection (CAUTI)
Ventilator-associated pneumonia (VAP) and healthcare-associated pneumonia (HAP)
Infections related to endoscopic procedures
Infection prevention and control in healthcare
Organisation of infection prevention and control
Infection prevention and control in primary care
Infection prevention and control in dentistry
Prudent use of antibiotics
Antimicrobial stewardship
Peri-operative antimicrobial prophylaxis
Training
Training courses on infection prevention and control (IPC)
Training courses on antimicrobial stewardship
Training courses on the prevention of antimicrobial resistance
Strategies, action plans and European projects
Strategies and action plans on antimicrobial resistance
European projects on antimicrobial resistance and healthcare-associated infections
Surveillance and disease data
Country visits reports
Communication campaigns
Disease vectors
Vector factsheets
Fleas (Siphonaptera)
Lice (Phthiraptera)
Mosquito factsheets
Aedes aegypti
Aedes albopictus
Aedes atropalpus
Aedes japonicus
Aedes koreicus
Aedes triseriatus
Anopheles atroparvus
Anopheles labranchiae
Anopheles plumbeus
Anopheles sacharovi
Culex pipiens
Tick factsheets
Hyalomma marginatum
Ixodes ricinus
Phlebotomine sand flies
Infographics
Surveillance and updates
Mosquito maps
Invasive mosquitoes
Native mosquitoes
Tick maps
Phlebotomine maps
Biting midge maps
Reverse identification key for mosquito species
Vector distribution modelling
Healthcare-associated infections
Infographics
Healthcare-associated infections in acute care hospitals
Healthcare-associated infections in long-term care facilities
HAI-Net HALT database
Representativeness of data sample
Characteristics of LTCFs and representativeness of data sample
LTCFs by type
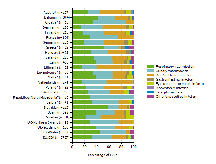
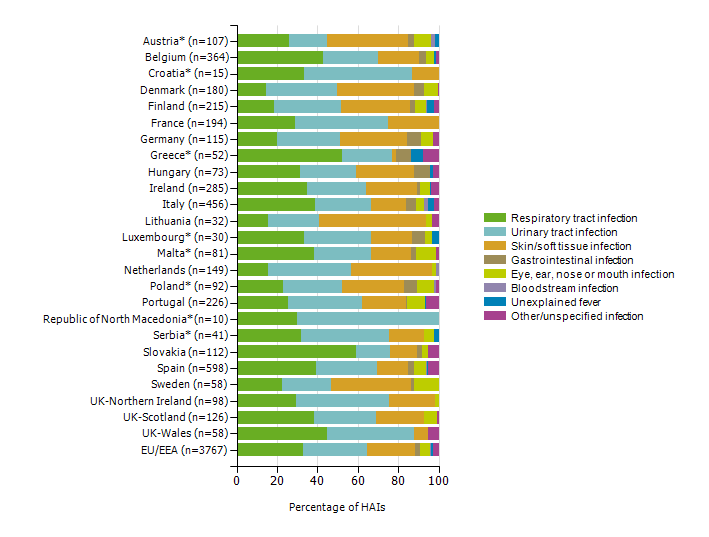
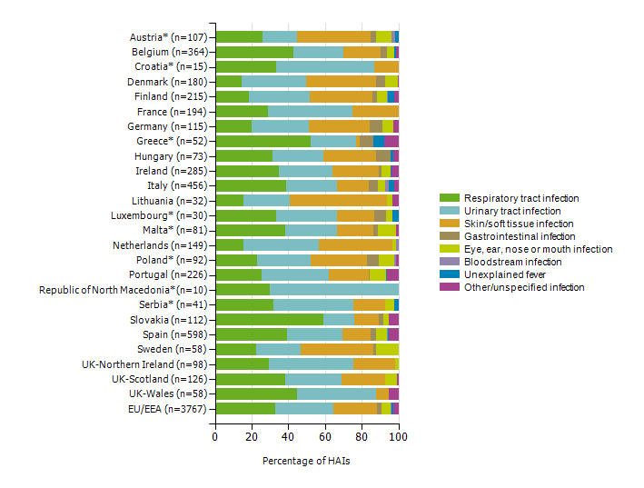
Types of HAIs
Types of HAI: pie chart
Types of HAI: stacked bars graph
Microorganisms
Most frequently isolated microorganisms
Indications for antimicrobial use
Indication for use
Antimicrobial use by indication & body site
Most frequently used antimicrobial agents
Maps
Point prevalence survey
Infections acquired in intensive care units
Surgical site infections
Immunisation and vaccines
Vaccine-preventable diseases
Vaccine monitoring
Vaccine effectiveness
Vaccine Effectiveness, Burden and Impact Studies (VEBIS)
EU vaccination schedules
Immunisation Information Systems
Questions and answers
Questions and answers on childhood vaccination
Questions and answers on vaccine ingredients
Communication on immunisation
Microbiology
European Reference Laboratories for public health
Migrant and refugee health
One Health
Prevention
Social and behavioural sciences
ECDC Lighthouse
Substances of human origin
Surveillance resources
ECDC technical guidelines for SoHO
Sustainable Development Goals
EU case definitions
Infectious disease topics
A
B
C
D
E
F
G
H
I
J
K
L
M
N
O
P
Q
R
S
T
U
V
W
X
Y
Z
Related public health topics
Spotlight
Antimicrobial resistance (AMR)
Avian influenza
COVID-19
Mpox
One Health
Seasonal influenza
Video: Fighting a Candida auris outbreak - healthcare workers leading the change
Publications and data
Scientific and technical publications
Annual Epidemiological Reports
Epidemiological updates
Weekly threats reports (CDTR)
Dashboards and databases
Spotlight
Weekly threats reports (CDTR)
Annual Epidemiological Reports (AERs)
Epidemiological updates
The European Respiratory Virus Surveillance Summary (ERVISS)
Training and tools
Training programmes
Scientific exchange programmes
Food- and Waterborne Diseases Expert Exchange Programme
Observership programme
Continuous professional development
Fellowships
Fellowship programme: EPIET/EUPHEM
About the fellowship
At a glance
Fellowship experience
Work of graduated fellows cohort 2023
Work of graduated fellows cohort 2022
The work of graduated fellows cohort 2021
Work of graduated fellows cohort 2020
Team coordination
Apply for fellowship
Apply for EU-track
Apply for MS-track
ECDC Fellowship Programme documents
Institutes
Postcards from the field
MediPIET
MediPIET partner countries and training sites
Multimedia
Graduated Fellows
Core competencies
Contact us
Surveillance and outbreak tools
Information sources for epidemic intelligence and outbreak response
Preparedness, prevention and control tools
Communication materials
Spotlight
EpiPulse - the European surveillance portal for infectious diseases
The European Respiratory Diseases Forecasting Hub (RespiCast)
ECDC Crowd
Learning Portal
About ECDC
Who we are
Our guiding principles
Annual Declarations of Interest and Declarations of Commitment
Key documents
Decisions and regulations
Financial documents
Strategic documents
Planned scientific outputs
Annual reports of the Director
Public access to documents
EU/EEA routine surveillance open data policy
Governance
Management Board
Composition
Minutes
Advisory Forum
Members and Alternates
Observers
Minutes
Competent Bodies
Audit Committee
Director of ECDC
Former Directors
Celebrating 20 years of ECDC
What we do
Partners and networks
Disease and laboratory networks
European Antimicrobial Resistance Surveillance Network (EARS-Net)
European COVID-19 surveillance network (ECOVID-Net)
European COVID-19 reference laboratory network (ECOVID-LabNet)
European Emerging and Vector-borne Diseases Network (EVD-Net)
European Creutzfeldt-Jakob Disease Surveillance Network (EuroCJD)
European Diphtheria Surveillance Network (EDSN)
European Food- and Waterborne Diseases and Zoonoses Network (FWD-Net)
European Gonococcal Antimicrobial Surveillance Programme (Euro-GASP)
European Influenza Surveillance Network (EISN)
European Invasive Bacterial Disease Surveillance Network (EU-IBD)
European Legionnaires’ Disease Surveillance Network (ELDSNet)
European Network for Hepatitis B and C Surveillance
European Network for HIV/AIDS Surveillance
About the network
Euro-HIV project & past reports
European Network for STI Surveillance
About the network
Historical network: ESSTI Project
European Reference Laboratory Network for Human Influenza (ERLI-Net)
About the network
Biosafety
Influenza laboratory quality control
Laboratory surveillance of influenza
Tuberculosis Disease Network
European Reference Laboratory Network for TB (ERLTB-Net)
European Tuberculosis Surveillance Network
EUVAC.Net
European Surveillance of Antimicrobial Consumption Network (ESAC-Net)
Data collection and analysis
Healthcare-associated Infections Surveillance Network (HAI-Net)
European network for sharing data on the geographic distribution of arthropod vectors, transmitting human and animal disease agents (VectorNet)
European Antimicrobial Resistance Genes Surveillance Network (EURGen-Net)
National Immunisation Technical Advisory Groups (NITAG) collaboration
Network for the Microbial Safety of Substances of Human Origin (SoHO-Net)
Support and services to EU/EEA countries
EU Health Task Force (EUHTF)
European Commission funding opportunities
Support for countries neighbouring Ukraine
Sustainable Development Goals
EU institutions and agencies
Vaccine Monitoring Platform
International cooperation
Africa CDC – ECDC Partnership
EU Initiative on Health Security
ECDC Accession Support
Health Resilience in the Eastern Partnership
Work with ECDC
Staff positions
Recruitment process
What we offer
Staff categories
Selection committees for ongoing recruitments
Reserve list
Vacancy translations
Traineeships
Short term interim support
Seconded National Expert
Fellowship Programme (EPIET and EUPHEM)
External experts
ECDC Crowd
Procurement and grants
Ex-post publicity
Media centre
Campaigns
ECDC: On Air
Infographics and videos
ECDC picture gallery
Social media
Spotlight
Strategic documents
Annual reports of the Director
Governance
ECDC: On Air
Main Navigation
Home
Infectious disease topics
Infectious disease topics
A
B
C
D
E
F
G
H
I
J
K
L
M
N
O
P
Q
R
S
T
U
V
W
X
Y
Z
Related public health topics
Spotlight
Antimicrobial resistance (AMR)
Avian influenza
COVID-19
Mpox
One Health
Seasonal influenza
Video: Fighting a Candida auris outbreak - healthcare workers leading the change
Publications and data
Publications and data
Scientific and technical publications
Dashboards and databases
Spotlight
Weekly threats reports (CDTR)
Annual Epidemiological Reports (AERs)
Epidemiological updates
The European Respiratory Virus Surveillance Summary (ERVISS)
Training and tools
Training and tools
Training programmes
Surveillance and outbreak tools
Preparedness, prevention and control tools
Communication materials
Spotlight
EpiPulse - the European surveillance portal for infectious diseases
The European Respiratory Diseases Forecasting Hub (RespiCast)
ECDC Crowd
Learning Portal
About ECDC
About ECDC
Who we are
What we do
Partners and networks
Work with ECDC
Procurement and grants
Media centre
Spotlight
Strategic documents
Annual reports of the Director
Governance
ECDC: On Air
Home
Infectious disease topics
Related public health topics
Healthcare-associated infections
Healthcare-associated infections in acute care hospitals
Point prevalence survey database (HAI-Net)
Microorganisms and antimicrobial resistance in HAIs
Most frequent organisms
Microorganisms and antimicrobial resistance in HAIs
Antimicrobial resistance
List of microorganisms
Most frequent organisms
Frequency of microorganisms
Most frequently isolated microorganisms in HAIs
Period
2011-2012
Reporting Country
EU/EEA
Austria
Belgium
Bulgaria
Croatia
Cyprus
Czechia
Denmark
Estonia
Finland
France
Germany
Greece
Hungary
Iceland
Ireland
Italy
Latvia
Lithuania
Luxembourg
Malta
Netherlands
Norway
Poland
Portugal
Romania
Slovakia
Slovenia
Spain
Sweden
UK - England
UK - Northern Ireland
UK - Scotland
UK - Wales
HAI Type
All types
Pneumonia/LRTIs
Surgical site infections
Urinary tract infections
Bloodstream infections
Gastrointestinal infections
Systemic infections
Skin/Soft tissue infections
Other/unspecified HAIs
Filter
Download PDF report
DHAIPPS06
Most frequently isolated microorganisms in HAIs (all HAI types) in acute care hospitals in EU/EEA (n=10076 microorganisms)
Data from the ECDC point prevalence survey of healthcare-associated infections and antimicrobial use in acute care hospitals (ECDC PPS) in the period 2011-2012 as reported to TESSy as of 2013-02-06 14:06:48.